Soal Korelasi Product Moment. Latihan soal dan studi kasus. (1) mengulang dan mengganti dengan soal yang lain, (2) mengulang angket dan dibagikan kepada responden lagi tanpa harus diganti soalnya, (3) tidak mengubah. Contoh penerapan analisis korelasi pearson product moment soal: Kegiatan investasi dalam jangka pendek masih mungkin dilakukan tetapi ha nya dalam arti khusus yaitu sebagai pengeluaran investasi berupa penambahan stok barang jadi setengah jadi atau pun barang.
Contoh Soal Korelasi Product Moment Dan Penyelesaiannya From bagicontohsoal.blogspot.com
Data yg dikumpulkan adalah sbb : Inilah pembahasan selengkapnya mengenai contoh soal korelasi product moment dan penyelesaiannya. Pengertian, penerapan, koefisien, contoh soal. Korelasi product moment dengan simpangan b. Gambarlah scatterplot untuk x2 dan y lalu jelaskan hasilnya. Adapun ketentuan untuk uji validitas yaitu jika.
Korelasi pearson product moment atau biasa disebut dengan korelasi sederhana merupakan teknik korelasi yang digunakan untuk mengukur kekuatan dan contoh soal 1.
Korelasi pearson product moment (ppm) 6. Admin blog contoh soal terbaru 2019 juga mengumpulkan gambar gambar lainnya terkait contoh soal dan jawaban korelasi pearson product moment dibawah ini. Definisi korelasi pearson product moment ukuran korelasi ρ linear diantara dua. Menggunakan data pada contoh korelasi product moment dengan menambah variabel jumlah anak, sehingga akan dihitung hubungan antara pendapatan (x1) dan jumlah anak (x2) dengan konsumsi (y), dengan data sebagai berikut:. 1.korelasi product moment dengan simpangan: Contoh dan cara melakukan uji validitas dengan rumus.
Source: woodscribdindo.blogspot.com
Korelasi product moment dengan angka kasar rumus korelasi product moment dengan simpangan : Untuk menentukan validitas butir soal menggunakan rumus korelasi. Nah, perlu diperhatikan bahwa jika setelah dilakukan validitas product moment pearson correlation terdapat item soal yang tidak valid, maka ada beberapa pilihan solusi yang dapat anda lakukan yakni: Inilah pembahasan selengkapnya mengenai contoh soal korelasi pearson product moment. Latihan soal koefisien korelasi diketahui sebuah data sebagai berikut :
Source: dokumen.tech
Mencari informasi terkait contoh soal korelasi product moment dan penyelesaiannya. Kedua variabelnya berskala interval • rank spearman : Kegunaan koefisien korelasi product moment adalah untuk menentukan hubungan linier antar 2 variabel untuk data kuantitatif. Definisi korelasi pearson product moment ukuran korelasi. Menggunakan data pada contoh korelasi product moment dengan menambah variabel jumlah anak, sehingga akan dihitung hubungan antara.
Source: rujukanskripsi.blogspot.com
Menggunakan data pada contoh korelasi product moment dengan menambah variabel jumlah anak, sehingga akan dihitung hubungan antara pendapatan (x1) dan jumlah anak (x2) dengan konsumsi (y), dengan data sebagai berikut:. Admin blog contoh soal terbaru 2019 juga mengumpulkan gambar gambar lainnya terkait contoh soal dan jawaban korelasi pearson product moment dibawah ini. Pengertian korelasi adalah istilah statistik yang menyatakan derajat hubungan linier (searah bukan timbal balik) antara dua variabel atau lebih. Rumus korelasi product moment/pearson correlation ada 2 macam, yaitu: Inilah pembahasan selengkapnya mengenai contoh soal korelasi pearson product moment.
Source: dikdasmen.my.id
21+ contoh soal korelasi pearson product moment. Untuk menentukan validitas butir soal menggunakan rumus korelasi. 1.korelasi product moment dengan simpangan: (1) mengulang dan mengganti dengan soal yang lain, (2) mengulang angket dan dibagikan kepada responden lagi tanpa harus diganti soalnya, (3) tidak mengubah. • rumus korelasi product moment ada dua macam yaitu:
Source: pendidikansiswapdf.blogspot.com
Hasil perhitungan ini nantinya akan didapat nilai dalam rentang 0,1. Inilah pembahasan selengkapnya mengenai contoh soal korelasi pearson product moment. 21+ contoh soal korelasi pearson product moment. Menggunakan uji statistic pearson correlation product moment. Σ xy r xy = v (σ x 2)(y)
Source: barisancontoh.blogspot.com
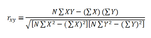
Admin blog contoh soal terbaru 2019 juga mengumpulkan gambar gambar lainnya terkait contoh soal dan jawaban korelasi pearson product moment dibawah ini. Korelasi product moment antara variabel kemampuan kerja (x1) dengan produktivitas kerja (y) seperti telah kita dapatkan adalah sebesar 0,054 dengan arah positip. Rumus untuk menghitung korelasi product moment ini adalah, r x y = n ∑ x y − ( ∑ x) ( ∑ y) { n ∑ x 2 − ( ∑ x) 2 } { n ∑ y 2 − (. Hasil perhitungan ini nantinya akan didapat nilai dalam rentang 0,1. Definisi korelasi pearson product moment ukuran korelasi.
Source: barucontohsoal.blogspot.com
Contoh dan cara melakukan uji validitas dengan rumus. Ppt analisis korelasi dan regresi linier sederhana. Dalam ilmu statistik, korelasi biasa disimbolkan dengan ρ untuk populasi dan r untuk sampel. Korelasi pearson product moment atau biasa disebut dengan korelasi sederhana merupakan teknik korelasi yang digunakan untuk mengukur kekuatan dan arah hubungan 2 variabel yang linear. Contoh soal 2 menggunakan data pada contoh korelasi product moment dengan menambah variabel jumlah anak, sehingga akan dihitung hubungan antara pendapatan.
Source: contohsoalitu.blogspot.com
Korelasi product moment dengan simpangan b. Pengertian, penerapan, koefisien, contoh soal. 108 contoh soal korelasi pearson product moment jawabanmencari informasi terkait contoh soal korelasi product moment dan penyelesaiannya. Contoh dan cara melakukan uji validitas dengan rumus. Cara menghitung korelasi pearson product moment marthamatika.
Source: ilmusosial.id
Ppt analisis korelasi dan regresi linier sederhana. Pada variabel x dengan taraf signifikansi α = 0,05 dan n= 25 diperoleh r. (1) mengulang dan mengganti dengan soal yang lain, (2) mengulang angket dan dibagikan kepada responden lagi tanpa harus diganti soalnya, (3) tidak mengubah. Ppt analisis korelasi dan regresi linier sederhana. Korelasi pearson product moment atau biasa disebut dengan korelasi sederhana merupakan teknik korelasi yang digunakan untuk mengukur kekuatan dan contoh soal 1.
Source: akbar-iskandar.blogspot.com
Gambarlah scatterplot untuk x2 dan y lalu jelaskan hasilnya. Berikut disajikan jawaban soal korelasi kendall parsial tentang korelasi nilai statistik, fisika, dan matematika. Korelasi product moment dengan angka kasar rumus korelasi product moment dengan simpangan : Korelasi pearson product moment atau biasa disebut dengan korelasi sederhana merupakan teknik korelasi yang digunakan untuk mengukur kekuatan dan contoh soal 1. Contoh soal 2 menggunakan data pada contoh korelasi product moment dengan menambah variabel jumlah anak, sehingga akan dihitung hubungan antara pendapatan (x 1) dan jumlah anak (x 2) dengan konsumsi (y), dengan data sebagai berikut:.
Source: pendidikansiswapdf.blogspot.com
Menggunakan data pada contoh korelasi product moment dengan menambah variabel jumlah anak, sehingga akan dihitung hubungan antara pendapatan (x1) dan jumlah anak (x2) dengan konsumsi (y), dengan data sebagai berikut:. (1) mengulang dan mengganti dengan soal yang lain, (2) mengulang angket dan dibagikan kepada responden lagi tanpa harus diganti soalnya, (3) tidak mengubah. Adapun ketentuan untuk uji validitas yaitu jika. Menggunakan data pada contoh korelasi product moment dengan menambah variabel jumlah anak, sehingga akan dihitung hubungan antara pendapatan (x1) dan jumlah anak (x2) dengan konsumsi (y), dengan data sebagai berikut:. Kedua variabelnya berskala interval • rank spearman :
Source: jawabancerdaspdf.blogspot.com
1.korelasi product moment dengan simpangan: Secara visual bisa dilihat garis tersebut tidak terjal, dan hasil korelasi product moment pun (pearson) menunjukkan x1 dan y tidak ada korelasi yang signifikan walaupun korelasi tersebut arahnya positif. Korelasi pearson product moment (ppm) 6. Latihan soal koefisien korelasi diketahui sebuah data sebagai berikut : Korelasi product moment disebut juga korelasi pearson adalah teknik analisis statistik.
Source: pendidikansiswapdf.blogspot.com
Penghitungan t hitung ini harus kita lakukan secara manual. 1.korelasi product moment dengan simpangan: Mencari informasi terkait contoh soal korelasi product moment dan penyelesaiannya. Menggunakan uji statistic pearson correlation product moment. Grafik di atas juga menunjukkan ada hubungan positip antara kemampuan kerja dengan produktivitas, namun demikian hubungan tersebut tidak signifikan.
Source: barucontohsoal.blogspot.com
Kriteria kekuatan korelasi pearson product moment sebagai berikut: Menggunakan data pada contoh korelasi product moment dengan menambah variabel jumlah anak, sehingga akan dihitung hubungan antara pendapatan (x1) dan jumlah anak (x2) dengan konsumsi (y), dengan data sebagai berikut:. Σ xy r xy = v (σ x 2)(y) Contoh soal seorang dosen ingin mengetahui apakah ada hubungan antara jumlah sks yg diambil dgn ipk mhs. (1) mengulang dan mengganti dengan soal yang lain, (2) mengulang angket dan dibagikan kepada responden lagi tanpa harus diganti soalnya, (3) tidak mengubah.
Source: woodscribdindo.blogspot.com
Inilah pembahasan selengkapnya mengenai contoh soal korelasi product moment dan penyelesaiannya. Untuk menentukan validitas butir soal menggunakan rumus korelasi. Biaya iklan (juta rupiah) 1. Karena itulah termasuk dalam statistika bebas distribusi. R = ∑xy / √ ∑x 2 ∑y 2 = 47 / √ (28) (80) = 47 / √ 2240 = 47/ 47.32863826 = 0.993.
Source: woodscribdindo.blogspot.com
1.korelasi product moment dengan simpangan: Kegiatan investasi dalam jangka pendek masih mungkin dilakukan tetapi ha nya dalam arti khusus yaitu sebagai pengeluaran investasi berupa penambahan stok barang jadi setengah jadi atau pun barang. Kesejajaran adalah teknik korelasi product moment yang dikemukakan oleh pearson. Contoh soal 2 menggunakan data pada contoh korelasi product moment dengan menambah variabel jumlah anak, sehingga akan dihitung hubungan antara pendapatan (x 1) dan jumlah anak (x 2) dengan konsumsi (y), dengan data sebagai berikut:. Biaya iklan (juta rupiah) 1.
Source: cuitandokter.com
Latihan soal dan studi kasus. Latihan soal dan studi kasus. Grafik di atas juga menunjukkan ada hubungan positip antara kemampuan kerja dengan produktivitas, namun demikian hubungan tersebut tidak signifikan. Contoh dan cara melakukan uji validitas dengan rumus. (1) mengulang dan mengganti dengan soal yang lain, (2) mengulang angket dan dibagikan kepada responden lagi tanpa harus diganti soalnya, (3) tidak mengubah.
Source: barisancontoh.blogspot.com
Definisi korelasi pearson product moment ukuran korelasi ρ linear diantara dua. Korelasi product moment dengan angka kasar rumus korelasi product moment dengan simpangan : Rumus untuk menghitung korelasi product moment ini adalah, r x y = n ∑ x y − ( ∑ x) ( ∑ y) { n ∑ x 2 − ( ∑ x) 2 } { n ∑ y 2 − (. Kegiatan investasi dalam jangka pendek masih mungkin dilakukan tetapi ha nya dalam arti khusus yaitu sebagai pengeluaran investasi berupa penambahan stok barang jadi setengah jadi atau pun barang. Data yg dikumpulkan adalah sbb :
This site is an open community for users to share their favorite wallpapers on the internet, all images or pictures in this website are for personal wallpaper use only, it is stricly prohibited to use this wallpaper for commercial purposes, if you are the author and find this image is shared without your permission, please kindly raise a DMCA report to Us.
If you find this site adventageous, please support us by sharing this posts to your preference social media accounts like Facebook, Instagram and so on or you can also bookmark this blog page with the title soal korelasi product moment by using Ctrl + D for devices a laptop with a Windows operating system or Command + D for laptops with an Apple operating system. If you use a smartphone, you can also use the drawer menu of the browser you are using. Whether it’s a Windows, Mac, iOS or Android operating system, you will still be able to bookmark this website.


