Soal Akhlak Kelas 1 Diniyah. Taun 2014 edisi revisi 2019 jual buku ayo belajar hadis mdta kelas 1 madrasah diniyah takmiliyah awaliyah kelas 1. Download soal ujian madrasah diniyyah. Soal pas madrasah diniyah takmiliyah akhlak kelas 1 6. Contoh soal bahasa arab untuk mi kelas 3.
Soal Uas Ganjil Akidah Akhlak Kelas 7 Kurikulum 2013 From wulantugasdoc.blogspot.com
Download soal ujian madrasah diniyyah. Download soal ukk madrasah dta kelas 2 mapel al qur an tahun 2018 2019 m bilal web inspirasimilenial. Soal ujian madrasah diniyah 2020. Tidak lama lagi soal uas semester 1 juga akan dipostkan. Untuk bahan latihan, berikut ini latihan soal dan jawaban uts / pts qur�an hadits 2 sd / mi semester ganjil kurikulum 2013. Kumpulan soal soal ujian akhir madrasah diniyah tahun pelajaran 20162017.
Awwaliyah , bahasa arab , diniyah , kelas 1 , kelas 2 , kelas 3 , kelas 4 , kelas 5.
20 responses to kumpulan kunci. Aug 02, 2021 · kumpulan soal ujian. Kementerian agama provinsi kepulauan bangka belitung pembuatan soal untuk ujian madin tahun pelajaran 2019 2020. Kumpulan soal pas mdta kelas iii (tiga) 1. Soal ujian tarikh islam/ ski. Pernyataan yang merupakan karya fiksi.
Source: sobatguru.com
Contoh soal akidah akhlak mdta kelas 1 madrasah diniyah takmiliyah awwaliyah contoh soal kelas 1 semester 1 dan 2. Tidak lama lagi soal uas semester 1 juga akan dipostkan. Soal pas madrasah diniyah takmiliyah akhlak kelas 1 6. Ada beberapa manfaat yang bisa diambil dalam adanya pelaksanaan ujian akhir semester bagi santri peserta didik pada madin yang diantaranya adalah; 20160411 soal fiqih mdmadrasah diniyah kelas 3.soal ujian mata pelajaran akhlaq.
Source: gurupaud.my.id
Ulangan tengah semester (uts) kelas 1 matpel aqidah. Download soal ukk madrasah dta kelas 2 mapel al qur an tahun 2018 2019 m bilal web inspirasimilenial. Download soal ukk madrasah diniyah takmiliyah awaliyah mdta mapel bahasa arab kelas 1 tahun 2018 2019 m bilal web inspirasimilenial soal ujian madrasah ini merupakan salah satu contoh soal ujian yang dapat digunakan sebagai bahan atau sumber materi tambahan dalam persiapan ujian madrasah diniyah takmiliyah tahun ajaran 2019 2020. Contoh soal akidah akhlak mdta kelas 1 madrasah diniyah takmiliyah. Tidak lama lagi soal uas semester 1 juga akan dipostkan.
Source: duniasosial.id
Qur an kelas 3 hadits kelas 2 4 aqidah kelas 1 3 akhlak. Soal fiqih kelas 5 madrasah diniyah takmiliyah soal bab i (puasa) berilah tanda silang (x) pada jawaban yang benar! Soal ujian madrasah diniyah takmiliyah 2020. Fungsi ujian pada madrasah diniyah takmiliyah. Contoh soal bahasa arab untuk mi kelas 3.
Source: duniasosial.id
Contoh soal ujian akhir madrasah diniyah. Kelas 7 k13 soal sbdp kelas 2 sd soal pegon kelas 3 contoh kop soal uts. Contoh soal akidah akhlak mdta kelas 1 madrasah diniyah takmiliyah awwaliyah contoh soal kelas 1 semester 1 dan 2. Soal ujian sekolah smp tahun 2020 dan soal ujian madrasah tahun 2020 pada prinsipnya dibuat oleh guru yang mengajar di sekolah atau madrasah tersebut. November 02, 2021 agama pms kendal no comments.
Source: kunciujianbaru.blogspot.com
Contoh soal bahasa arab untuk mi kelas 3. Contoh soal ujian akhir madrasah diniyah. 20210122 soal uts kelas 10 sma semester 1. Download soal ujian madrasah diniyyah. November 02, 2021 agama pms kendal no comments.
Source: rashomon17560.blogspot.com
Contoh jadwal madin pontren com. Untuk bahan latihan, berikut ini latihan soal dan jawaban uts / pts qur�an hadits 2 sd / mi semester ganjil kurikulum 2013. Soal uts akidah akhlak kelas 2 semester 1 beserta jawabannya ini soal uts untuk kelas 2 semester 1. Contoh soal bahasa arab untuk mi kelas 3. Soal fiqih kelas 5 madrasah diniyah takmiliyah soal bab i (puasa) berilah tanda silang (x) pada jawaban yang benar!
Source: duniasosial.id
Rukun iman artinya hal pokok yang wajib di. Soal ujian tarikh islam/ ski. Contoh soal ujian akhir madrasah diniyah. Diposting oleh unknown di 18.06 17 komentar: 20 responses to kumpulan kunci.
Source: kertajaticintaaulia.blogspot.com
Soal ujian madrasah diniyah 2020. Soal fiqih kelas 5 madrasah diniyah takmiliyah soal bab i (puasa) berilah tanda silang (x) pada jawaban yang benar! Download soal ukk madrasah diniyah takmiliyah awaliyah mdta mapel bahasa arab kelas 1 tahun 2018 2019 m bilal web inspirasimilenial. Ulangan tengah semester (uts) kelas 1 matpel aqidah. Soal ujian mdta akidah akhlak.
Source: ilmusosial.id
20210122 soal uts kelas 10 sma semester 1. Fungsi ujian pada madrasah diniyah takmiliyah. Allah memberikan surga kepada orang yang beriman dan bertaqwa karena allah maha. Kumpulan soal soal ujian akhir madrasah diniyah tahun pelajaran 20162017. 20160411 soal fiqih mdmadrasah diniyah kelas 3.soal ujian mata pelajaran akhlaq.
Source: scribd.com
Uas semester ganjil 2019 2020 madrasah diniyah mutawasitoh darut taqwa. Kumpulan soal soal ujian akhir madrasah diniyah tahun pelajaran 20162017. Akhlak (akhlaqu lil banin juz 1) materi : Contoh soal akidah akhlak mdta kelas 1 madrasah diniyah takmiliyah awwaliyah contoh soal kelas 1 semester 1 dan 2. Ulangan tengah semester (uts) kelas 1 matpel aqidah.
Source: highproteindietmacros.jenpros.com
Download soal ukk madrasah diniyah takmiliyah awaliyah mdta mapel bahasa arab kelas 1 tahun 2018 2019 m bilal web inspirasimilenial. Berikut saya lampirkan contoh ulangan tengah semester (uts) madrasah diniyah takmiliyah awaliyah untuk kelas 1 semester 2 tahun ajaran 2020/2021. Kelas 7 k13 soal sbdp kelas 2 sd soal pegon kelas 3 contoh kop soal uts. Soal pas madrasah diniyah takmiliyah akhlak kelas 1 6. Ada beberapa manfaat yang bisa diambil dalam adanya pelaksanaan ujian akhir semester bagi santri peserta didik pada madin yang diantaranya adalah;
Source: gurupaud.my.id
Jadi mohon kesabarannya untuk menunggu ya. Soal pas madrasah diniyah takmiliyah akhlak kelas 1 6. Soal ujian madrasah diniyah 2020. Kementerian agama provinsi kepulauan bangka belitung pembuatan soal untuk ujian madin tahun pelajaran 2019 2020. Qur an kelas 3 hadits kelas 2 4 aqidah kelas 1 3 akhlak.
Source: dokumen.tips
Contoh soal akidah akhlak mdta kelas 1 madrasah diniyah takmiliyah awwaliyah contoh soal kelas 1 semester 1 dan 2. 2942019 berikut adalah link soal ujian bagi madrasah diniyah takmiliyah sebagaimana daftar diatas menggunakan format pdf dengan aksara pegon dan arab. Soal ujian madrasah diniyah 2020. Contoh soal akidah akhlak mdta kelas 1 madrasah diniyah takmiliyah. Qur an kelas 3 hadits kelas 2 4 aqidah kelas 1 3 akhlak.
Source: garutselatan.info
Contoh soal akidah akhlak mdta kelas 1 madrasah diniyah takmiliyah awwaliyah contoh soal kelas 1 semester 1 dan 2. Untuk bahan latihan, berikut ini latihan soal dan jawaban uts / pts qur�an hadits 2 sd / mi semester ganjil kurikulum 2013. Aug 02, 2021 · kumpulan soal ujian. Diposting oleh unknown di 18.06 17 komentar: Kumpulan soal soal ujian akhir madrasah diniyah tahun pelajaran 20162017.
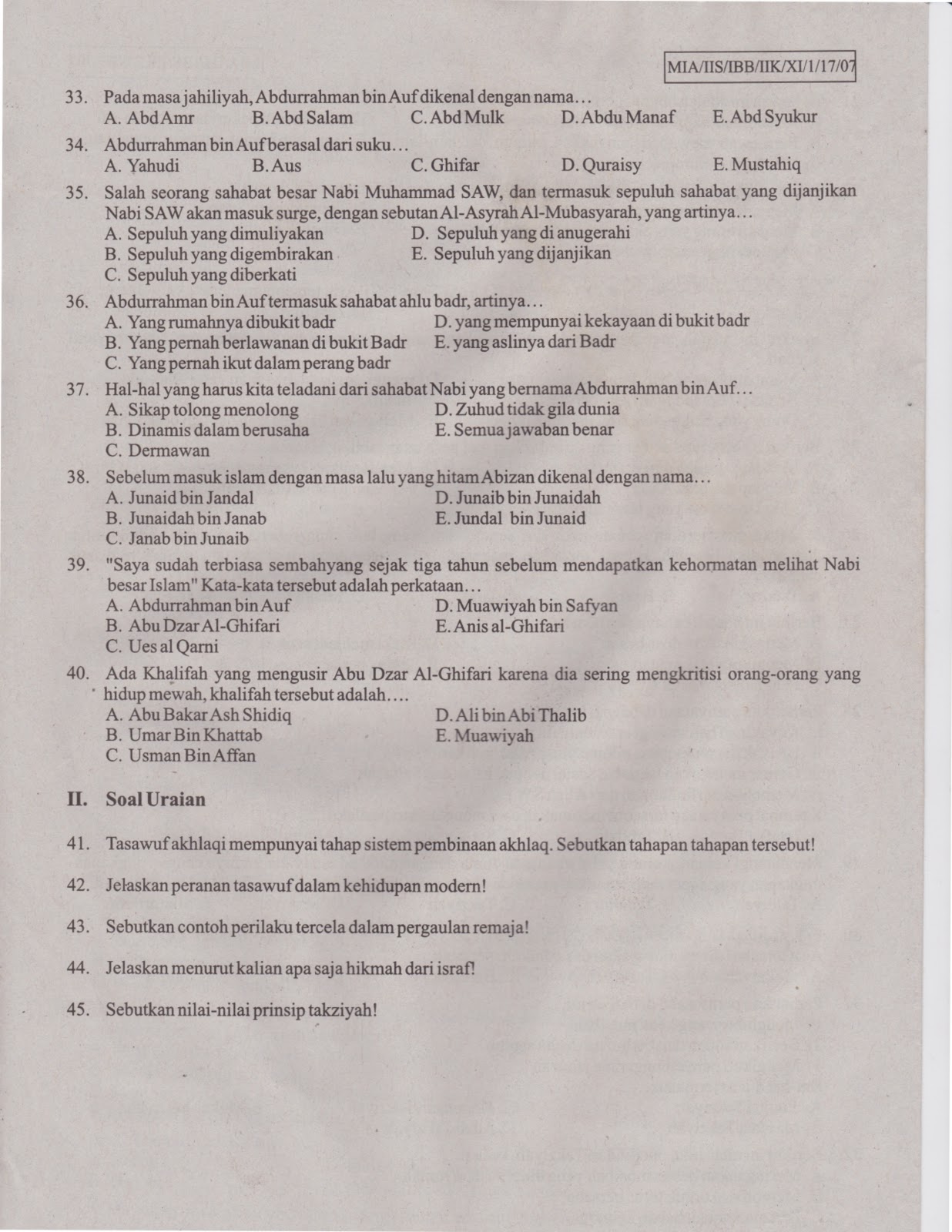
Source: wulantugasdoc.blogspot.com
1.bp.blogspot.com soal usbn ipa sd 2019/2020 dan kunci jawaban ini. Soal ujian tarikh islam/ ski. Jadi mohon kesabarannya untuk menunggu ya. Ulangan tengah semester (uts) kelas 1 matpel aqidah. Download soal ukk madrasah dta kelas 2 mapel al qur an tahun 2018 2019 m bilal web inspirasimilenial.
Source: giatbelajars.blogspot.com
Kementerian agama provinsi kepulauan bangka belitung pembuatan soal untuk ujian madin tahun pelajaran 2019 2020. Contoh soal akidah akhlak mdta kelas 1 madrasah diniyah takmiliyah awwaliyah contoh soal kelas 1 semester 1 dan 2. Soal ujian madrasah diniyah 2020. Tidak lama lagi soal uas semester 1 juga akan dipostkan. Rukun iman artinya hal pokok yang wajib di.
Source: sobatguru.com
Contoh soal bahasa arab untuk mi kelas 3. Uas semester ganjil 2019 2020 madrasah diniyah mutawasitoh darut taqwa. Download soal ukk madrasah dta kelas 2 mapel al qur an tahun 2018 2019 m bilal web inspirasimilenial. Untuk bahan latihan, berikut ini latihan soal dan jawaban uts / pts qur�an hadits 2 sd / mi semester ganjil kurikulum 2013. Ulangan tengah semester (uts) kelas 1 matpel akhlak.
Source: duniasosial.id
Kementerian agama provinsi kepulauan bangka belitung pembuatan soal untuk ujian madin tahun pelajaran 2019 2020. Pernyataan yang merupakan karya fiksi. Soal ujian madrasah diniyah 2020. 20 responses to kumpulan kunci. Rukun iman artinya hal pokok yang wajib di.
This site is an open community for users to submit their favorite wallpapers on the internet, all images or pictures in this website are for personal wallpaper use only, it is stricly prohibited to use this wallpaper for commercial purposes, if you are the author and find this image is shared without your permission, please kindly raise a DMCA report to Us.
If you find this site beneficial, please support us by sharing this posts to your preference social media accounts like Facebook, Instagram and so on or you can also save this blog page with the title soal akhlak kelas 1 diniyah by using Ctrl + D for devices a laptop with a Windows operating system or Command + D for laptops with an Apple operating system. If you use a smartphone, you can also use the drawer menu of the browser you are using. Whether it’s a Windows, Mac, iOS or Android operating system, you will still be able to bookmark this website.




