Portofolio Matematika. Melalui hasil kerja yang saya lampirkan di portofolio ini menunjukkan kekuatan dan kelemahan pada pelajaran matematika semester ini. Contoh tugas portofolio matematika sd, contoh rubrik penilaian. Sehingga penyusunan buku ajar asesmen pembelajaran matematika dapat terselesaikan. Interested in flipbooks about portofolio matematika_fabian alif m_xiimipa4?
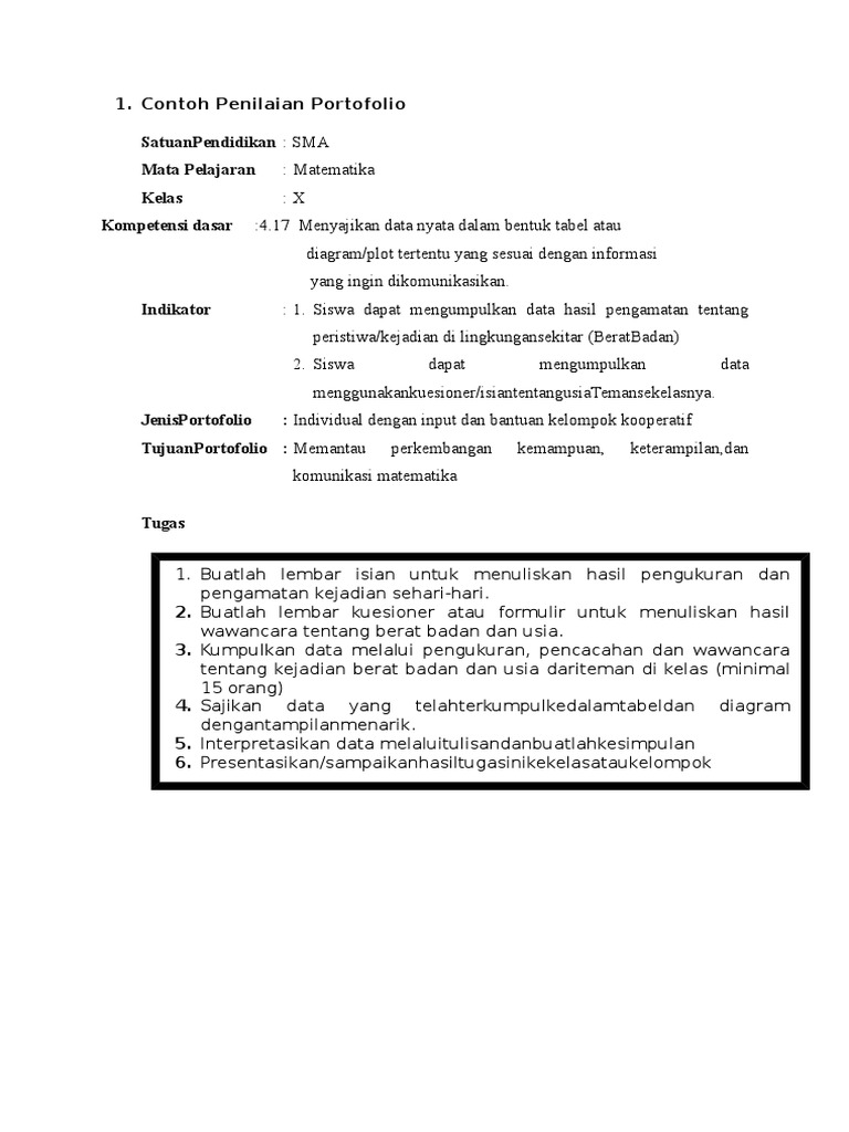
Contoh Tugas Portofolio Matematika Sma Dunia Sosial From duniasosial.id
20402110025 mahasiswi program studi pendidikan matematika pada fakultas tarbiyah dan keguruan uin alauddin makassar, telah diuji dan dipertahankan dalam sidang Portofolio terhadap aktifitas belajar matematika siswa kelas viii mts negeri model makassar” yang disusun oleh saudari ferawati, nim : Detail contoh tugas portofolio matematika kelas 9 pdf dapat kamu nikmati dengan cara klik link download dibawah dengan mudah tanpa iklan yang mengganggu. Contoh tugas portofolio matematika sd, contoh rubrik penilaian. Portofolio kerja siswa untuk kompetensi matematika kelas vii misalnya dapat berupa hasil ulangan atau kuis, laporan suatu tugas, refleksi atau hasil penilaian diri siswa, dan jurnal atau catatan harian siswa. 48 kelas viii smpmts buku guru tabel 2.13 contoh pedoman penskoran tugas no.
48 kelas viii smpmts buku guru tabel 2.13 contoh pedoman penskoran tugas no.
Tandai sebagai konten tidak pantas. Fungsi portofolio kerja mempunyai fungsi formatif dan diagnostik. , penilaian portofolio, matematika abstract this research aims to describe how portfolio assessments in the implementation of portfolio in learning mathemathics in smp muhammadiyah 1 kartasura. Terima kasih saya ucapkan kepada yang terhormat ibu suwarni m. Buku matematika langkah demi langkah untuk sma/ma kelas x dapat digunakan oleh siswa sma/ma kelas x dan guru matematika. 48 kelas viii smpmts buku guru tabel 2.13 contoh pedoman penskoran tugas no.
Source: duniasosial.id
Membuat portofolio dengan baik dan benar bisa dilakukan asal tahu tata caranya. Buku matematika langkah demi langkah untuk sma/ma kelas x dapat digunakan oleh siswa sma/ma kelas x dan guru matematika. Fungsi portofolio kerja mempunyai fungsi formatif dan diagnostik. Penilaian portofolio dalam pembelajaran matematika rubrik yang dibuat oleh. Menyeleksi karya terbaik untuk ditunjukkan.
Source: id.scribd.com
Contoh portofolio matematika yang sudah dilampirkan di artikel ini bisa anda unduh sekarang juga lewat link yang tertera di bawah. Di dalam kurikulum 2013, dokumen portofolio. Melalui hasil kerja yang saya lampirkan di portofolio ini menunjukkan kekuatan dan kelemahan pada pelajaran matematika semester ini. Tandai sebagai konten tidak pantas. Kompetensi kompetensi dasar 8230 8230 8230 8230 8230 8230 8230 matematika vii melakukan.
Source: ilmupelajaransiswa.blogspot.com
Contoh tugas portofolio siswa sd kelas 6 ilmusosial id rpp 1 lembar matematika kelas 6 k13 semester 2 revisi 2020 info pendidikan terbaru. 75% menganggap dokumen ini bermanfaat, tandai dokumen ini sebagai bermanfaat. Fungsi portofolio kerja mempunyai fungsi formatif dan diagnostik. Penilaian portofolio dalam pembelajaran matematika rubrik yang dibuat oleh. Portofolio kerja siswa untuk kompetensi matematika kelas vii misalnya dapat berupa hasil ulangan atau kuis, laporan suatu tugas, refleksi atau hasil penilaian diri siswa, dan jurnal atau catatan harian siswa.
Source: ilmupelajaransiswa.blogspot.com
Penilaian portofolio dalam pembelajaran matematika rubrik yang dibuat oleh. Jadi, buat daftar isi sesuai data yang kamu miliki. Saya memiliki kemampuan matematika yang cukup baik dan kreativitas dalam membuat proyek. Memantau perkembangan kemampuan keterampilan matematika siswa, dengan menyimbangkan aspek kemampuan pengetahuan dan sikap. Pengantar portofolio hasil kerja siswa:
Source: duniasosial.id
Interested in flipbooks about portofolio matematika_fabian alif m_xiimipa4? Menyeleksi karya terbaik untuk ditunjukkan. Saya memiliki kemampuan matematika yang cukup baik dan kreativitas dalam membuat proyek. Contoh portofolio matematika sma modif n from image.slidesharecdn.com contoh soal us matematika berikut disusun dari materi kelas 7 8 9 smp dengan perbandingan 25% materi matematika kelas 7, 25% materi matematika kelas 8, dan 50% materi matematika kelas 9. 15 nov, 2021 posting komentar (3) mengumpulkan informasi masalah yang akan dikaji;
Source: blog.kejarcita.id
20402110025 mahasiswi program studi pendidikan matematika pada fakultas tarbiyah dan keguruan uin alauddin makassar, telah diuji dan dipertahankan dalam sidang Portofolio dapat menampilkan pekerjaan terdahulu dan pekerjaan terbaru sehingga mengilustrasikan kemajuan belajar siswa (janet, 2002: Dengan membuat daftar isi, kamu akan memudahkan pembaca untuk melihat dokumentasi kamu. 48 kelas viii smpmts buku guru tabel 2.13 contoh pedoman penskoran tugas no. , penilaian portofolio, matematika abstract this research aims to describe how portfolio assessments in the implementation of portfolio in learning mathemathics in smp muhammadiyah 1 kartasura.
Source: its.ac.id
Portofolio terhadap aktifitas belajar matematika siswa kelas viii mts negeri model makassar” yang disusun oleh saudari ferawati, nim : 25% menganggap dokumen ini tidak bermanfaat, tandai dokumen ini sebagai tidak bermanfaat. Portofolio kerja siswa untuk kompetensi matematika kelas vii misalnya dapat berupa hasil ulangan atau. 20402110025 mahasiswi program studi pendidikan matematika pada fakultas tarbiyah dan keguruan uin alauddin makassar, telah diuji dan dipertahankan dalam sidang Contoh tugas portofolio siswa sd kelas 6 guru ilmu sosial.
Source: duniasosial.id
Portofolio dapat menampilkan pekerjaan terdahulu dan pekerjaan terbaru sehingga mengilustrasikan kemajuan belajar siswa (janet, 2002: Portofolio kerja siswa untuk kompetensi matematika kelas vii misalnya dapat berupa hasil ulangan atau. Portofolio kerja siswa untuk kompetensi matematika kelas vii misalnya dapat berupa hasil ulangan atau kuis, laporan suatu tugas, refleksi atau hasil penilaian diri siswa, dan jurnal atau catatan harian siswa. Unduh sebagai docx, pdf, txt atau baca online dari scribd. Menyeleksi karya terbaik untuk ditunjukkan.
Source: gtkguru.blogspot.com
Jadi, buat daftar isi sesuai data yang kamu miliki. Saya memiliki kemampuan matematika yang cukup baik dan kreativitas dalam membuat proyek. Untuk mengunduh file gunakan tombol download dibawah ini. Contoh portofolio matematika sma modif n from image.slidesharecdn.com contoh soal us matematika berikut disusun dari materi kelas 7 8 9 smp dengan perbandingan 25% materi matematika kelas 7, 25% materi matematika kelas 8, dan 50% materi matematika kelas 9. Portofolio dapat menampilkan pekerjaan terdahulu dan pekerjaan terbaru sehingga mengilustrasikan kemajuan belajar siswa (janet, 2002:
Source: contohkaro.blogspot.com
Penilaian portofolio merupakan pendekatan yang relatif baru dan belum banyak digunakan dalam dunia pendidikan di indonesia. Dikutip quipper, berikut cara membuat portofolio. Pengantar portofolio hasil kerja siswa: Check more flip ebooks related to portofolio matematika_fabian alif m_xiimipa4 of fabian190604. Penilaian portofolio dalam matematika budi santoso ) abstrak penilaian.
Source: ilmusosial.id
Contoh suatu tugas matematika yang diberikan tidak hanya sejenis, seperti soal. Oleh anika diposting pada 08/10/2019. Interested in flipbooks about portofolio matematika_fabian alif m_xiimipa4? Penilaian portofolio merupakan pendekatan yang relatif baru dan belum banyak digunakan dalam dunia pendidikan di indonesia. Melalui hasil kerja yang saya lampirkan di portofolio ini menunjukkan kekuatan dan kelemahan pada pelajaran matematika semester ini.
Source: soalperhitungan.blogspot.com
75% menganggap dokumen ini bermanfaat, tandai dokumen ini sebagai bermanfaat. 75% menganggap dokumen ini bermanfaat, tandai dokumen ini sebagai bermanfaat. Selaku pembimbing materi pembuatan portofolio, dan tak lupa untuk semua pihak yang mendukung di dalam penyusunan portofolio ini. Siswa untuk kompetensi matematika kelas vii misalnya dapat berupa hasil ulangan atau kuis, laporan suatu tugas, refleksi atau hasil penilaian diri siswa, dan jurnal atau catatan harian siswa. 15 nov, 2021 posting komentar (3) mengumpulkan informasi masalah yang akan dikaji;
Source: ilmupelajaransiswa.blogspot.com
Portofolio dapat menampilkan pekerjaan terdahulu dan pekerjaan terbaru sehingga mengilustrasikan kemajuan belajar siswa (janet, 2002: Pengantar portofolio hasil kerja siswa: Jadi, buat daftar isi sesuai data yang kamu miliki. Portofolio dapat menampilkan pekerjaan terdahulu dan pekerjaan terbaru sehingga mengilustrasikan kemajuan belajar siswa (janet, 2002: Rubrik penilaian portofolio nama siswa mata pelajaran kelas standar.
Source: contohfileguru.blogspot.com
48 kelas viii smpmts buku guru tabel 2.13 contoh pedoman penskoran tugas no. Fyi nih, portofolio sendiri diambil dari bahasa latin portefeuille. Contoh tugas portofolio matematika sd, contoh rubrik penilaian. Contoh portofolio matematika sma modif n from image.slidesharecdn.com contoh soal us matematika berikut disusun dari materi kelas 7 8 9 smp dengan perbandingan 25% materi matematika kelas 7, 25% materi matematika kelas 8, dan 50% materi matematika kelas 9. Memantau perkembangan kemampuan keterampilan matematika siswa, dengan menyimbangkan aspek kemampuan pengetahuan dan sikap.
Source: dokumenhanna.blogspot.com
Penilaian portofolio dalam pembelajaran matematika rubrik yang dibuat oleh. Oleh anika diposting pada 08/10/2019. Untuk mengunduh file gunakan tombol download dibawah ini. Penilaian portofolio dalam matematika budi santoso ) abstrak penilaian. Detail contoh tugas portofolio matematika pdf dapat kamu nikmati dengan cara klik link download dibawah dengan mudah tanpa iklan yang mengganggu.
Source: ilmupelajaransiswa.blogspot.com
15 nov, 2021 posting komentar (3) mengumpulkan informasi masalah yang akan dikaji; Contoh tugas portofolio matematika sd, contoh rubrik penilaian. Contoh portofolio matematika yang sudah dilampirkan di artikel ini bisa anda unduh sekarang juga lewat link yang tertera di bawah. 48 kelas viii smpmts buku guru tabel 2.13 contoh pedoman penskoran tugas no. Pengantar portofolio hasil kerja siswa:
Source: giatbelajars.blogspot.com
Fyi nih, portofolio sendiri diambil dari bahasa latin portefeuille. Jadi, buat daftar isi sesuai data yang kamu miliki. Unduh sebagai docx, pdf, txt atau baca online dari scribd. Kompetensi kompetensi dasar 8230 8230 8230 8230 8230 8230 8230 matematika vii melakukan. Sehingga penyusunan buku ajar asesmen pembelajaran matematika dapat terselesaikan.
Source: dokumen.tips
Dengan membuat daftar isi, kamu akan memudahkan pembaca untuk melihat dokumentasi kamu. Fungsi portofolio kerja mempunyai fungsi formatif dan diagnostik. Untuk mengunduh file gunakan tombol download dibawah ini. , penilaian portofolio, matematika abstract this research aims to describe how portfolio assessments in the implementation of portfolio in learning mathemathics in smp muhammadiyah 1 kartasura. Contoh portofolio matematika sma modif n from image.slidesharecdn.com contoh soal us matematika berikut disusun dari materi kelas 7 8 9 smp dengan perbandingan 25% materi matematika kelas 7, 25% materi matematika kelas 8, dan 50% materi matematika kelas 9.
This site is an open community for users to do submittion their favorite wallpapers on the internet, all images or pictures in this website are for personal wallpaper use only, it is stricly prohibited to use this wallpaper for commercial purposes, if you are the author and find this image is shared without your permission, please kindly raise a DMCA report to Us.
If you find this site good, please support us by sharing this posts to your own social media accounts like Facebook, Instagram and so on or you can also save this blog page with the title portofolio matematika by using Ctrl + D for devices a laptop with a Windows operating system or Command + D for laptops with an Apple operating system. If you use a smartphone, you can also use the drawer menu of the browser you are using. Whether it’s a Windows, Mac, iOS or Android operating system, you will still be able to bookmark this website.



