Limit Euler. The teacher taught to put the expression 2 and 3 as this limit is in the euler format. Indeed, it is the same as ( lim y → ∞ ( 1 + 1 / y) y) a = e a (replace x / a by y ). We focus here on the case of supersonic outflow velocities. Follow this answer to receive notifications.
Lesson Euler’s Number as a Limit Nagwa From nagwa.com
Limits by logarithms, squeeze theorem, and euler’s constant. I have a script that limits the rotation of an object, which can be set in the inspector with any min/max value. We focus here on the case of supersonic outflow velocities. Leonhard euler terkenal dengan berbagai temuannya di bidang matematika terutama bilangan euler. We can define euler’s number using the following limit: Indeed, it is the same as ( lim y → ∞ ( 1 + 1 / y) y) a = e a (replace x / a by y ).
Hi could you please calculate this limit without using l�hospital�s rule.
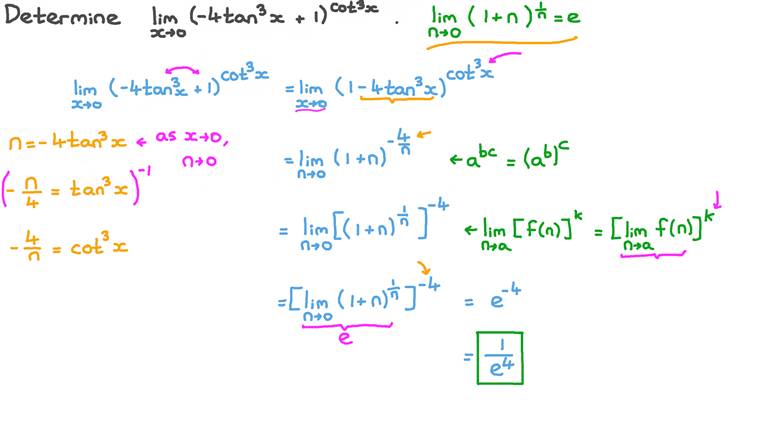
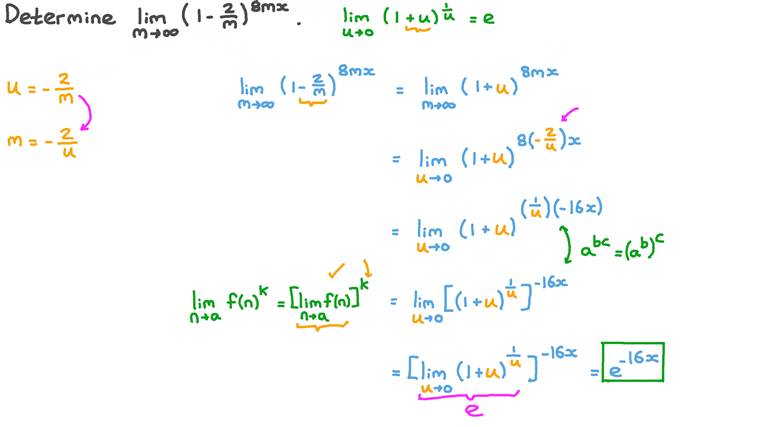
Lim x → c ( 1 + f ( x)) g ( x) = e lim x → c f ( x) g ( x) untuk memantapkan pemahaman mengenai limit euler, berikut disediakan soal dan pembahasan mengenai. We notice that the limit we have been given is very similar to one that expresses the value of euler�s number: Soal pembahasan 2 limit euler aljabar mendekati takhingga. To ensure you are fully covered, check if the maximum outstanding is less than, or more than, the discretionary limit specified for the country of your customer. Euler angle problems with rotation limit script. And how can one prove it?
Source: youtube.com
We first prove the existence of classical solutions for a time independent of the small. The points are drawn from a nonhomogeneous poisson process on $\mathbb{r}^d$ , and the connectivity radius governing the formation of simplices is taken as a function of the time parameter t, which allows us to treat the euler characteristic as a stochastic process. Contoh soal dan jawaban kalkulus. Inti dari penyelesaian soal dengan limit e tersebut adalah membuat bentuk umum menjadi bentuk e tersebut. Before going ahead to see the limitations of euler�s formula in columns, we must have to understand here the significance of crippling stress and slenderness ratio of column first.
Source: h30434.www3.hp.com
Jadi fungsi itu punya limit di x2. Perlu dipahami dalam menyelesaikan limit ketakhinggaan fungsi khusus euler yaitu teorema euler: We first prove the existence of classical solutions for a time independent of the small. The points are drawn from a nonhomogeneous poisson process on $\mathbb{r}^d$ , and the connectivity radius governing the formation of simplices is taken as a function of the time parameter t, which allows us to treat the euler characteristic as a stochastic process. Formal asymptotic expansions for symmetric ancient ovals in mean curvature flow.
Source: youtube.com
Apabila lim x → c f ( x) = 0 dan lim x → c g ( x) = ± ∞, maka. Lim x → 0 + ( 1 + 3 x) − 2 / 3 x 3. Jadi fungsi itu punya limit di x2. Formal asymptotic expansions for symmetric ancient ovals in mean curvature flow. And then completed the proof with the sandwich/toast theorem.
Source: youtube.com
This works as long as my rotation min/max values are positive, but breaks with negative values. The limit of a continuous function is the function of the limit. Crippling stress when a column will be subjected to axial compressive loads, there will be developed bending moment and hence bending stress in the column. Euler angle problems with rotation limit script. We notice that the limit we have been given is very similar to one that expresses the value of euler�s number:
Source: youtube.com
Soal pembahasan 3 limit euler aljabar mendekati takhingga. Lim x → c ( 1 + f ( x)) g ( x) = e lim x → c f ( x) g ( x) untuk memantapkan pemahaman mengenai limit euler, berikut disediakan soal dan pembahasan mengenai. Communications on pure & applied analysis, 2013, 12 (1) : Indeed, it is the same as ( lim y → ∞ ( 1 + 1 / y) y) a = e a (replace x / a by y ). A useful property of limits is that they can be brought inside continuous functions, i.e.
Source: youtube.com
Follow this answer to receive notifications. Kalkulus satu variabel , limit fungsi satu variabel. I apologize in advance if the. Hi could you please calculate this limit without using l�hospital�s rule. The teacher taught to put the expression 2 and 3 as this limit is in the euler format.
Source: youtube.com
But is it positive or negative infinity? The limit value of euler�s number �e� is limit of (1+1/n) ^n as n approaches infinity. Biasanya pembahasan mengenai materi ini dipelajari di mata kuliah kalkulus. And then completed the proof with the sandwich/toast theorem. And how can one prove it?
Source: nagwa.com
We focus here on the case of supersonic outflow velocities. Lim x → c ( 1 + f ( x)) g ( x) = e lim x → c f ( x) g ( x) untuk memantapkan pemahaman mengenai limit euler, berikut disediakan soal dan pembahasan mengenai. You can find this information in your policy. The limit of a continuous function is the function of the limit. We notice that the limit we have been given is very similar to one that expresses the value of euler�s number:
![Solved Example 40.4 (Euler Constant). Let Yn = {k=1 ] L](https://media.cheggcdn.com/media/964/964d5262-2b39-455c-b158-1e513081ee80/phph73Cb5.png “Solved Example 40.4 (Euler Constant). Let Yn = {k=1 ] L”) Source: chegg.com
Apabila lim x → c f ( x) = 0 dan lim x → c g ( x) = ± ∞, maka. We notice that the limit we have been given is very similar to one that expresses the value of euler�s number: The structure of the boundary layers and. Inti dari penyelesaian soal dengan limit e tersebut adalah membuat bentuk umum menjadi bentuk e tersebut. To ensure you are fully covered, check if the maximum outstanding is less than, or more than, the discretionary limit specified for the country of your customer.
Source: codepuz.blogspot.com
Boundary layers occur when the boundary conditions are not in equilibrium. Untuk lebih memahami penggunaan limit ketakhinggan fungsi khusus euler, maka mari kita lihat contoh berikut: And then completed the proof with the sandwich/toast theorem. Contoh soal dan jawaban kalkulus. L i m → ∞ the difference between the two limit expressions is that the one we were given has an exponent of 4 rather than 11.12.4.
Source: researchgate.net
The points are drawn from a nonhomogeneous poisson process on $\mathbb{r}^d$ , and the connectivity radius governing the formation of simplices is taken as a function of the time parameter t, which allows us to treat the euler characteristic as a stochastic process. Biasanya pembahasan mengenai materi ini dipelajari di mata kuliah kalkulus. However, we can also find euler’s number by using limits, and this is what we will explore in this explainer. To ensure you are fully covered, check if the maximum outstanding is less than, or more than, the discretionary limit specified for the country of your customer. 14 euler s eems to believe that every other case of nearing a limit can be included within these two cases.
Source: nagwa.com
Soal pembahasan 1 limit euler aljabar mendekati takhingga. Use „limit‟ to mean “approaching to a limit”. Zero mach number limit of compressible euler equations 3081 for ∈ (0,1], the state space for (2.3) is obviously g =(−p 0,+∞)×rd.assume the initial data u¯ =(¯p(x,),v¯(x,)) for (2.3) satisfies u¯(x,):(x,) ∈ ω×(0,1] ∈ [−p 0/2,c]×[−c,c]d ≡ g 0 ⊂⊂ g with c>0aconstantandu¯(·,) ∈ hs with s>d/2+1 an integer.fix. Untuk lebih memahami penggunaan limit ketakhinggan fungsi khusus euler, maka mari kita lihat contoh berikut: Leonhard euler terkenal dengan berbagai temuannya di bidang matematika terutama bilangan euler.
Source: nagwa.com
Jadi fungsi itu punya limit di x2. We study the euler equations for slightly compressible fluids, that is, after rescaling, the limits of the euler equations of fluid dynamics as the mach number tends to zero. You can find this information in your policy. We can define euler’s number using the following limit: Contoh soal dan jawaban kalkulus.
Source: youtube.com
Follow this answer to receive notifications. The limit of a continuous function is the function of the limit. You can find this information in your policy. I have a script that limits the rotation of an object, which can be set in the inspector with any min/max value. However, we can also find euler’s number by using limits, and this is what we will explore in this explainer.
Source: youtube.com
In fact, we have the following convergence result. The teacher taught to put the expression 2 and 3 as this limit is in the euler format. In general for every real a, lim x → ∞ ( 1 + a / x) x = e a. Biasanya pembahasan mengenai materi ini dipelajari di mata kuliah kalkulus. Leonhard euler terkenal dengan berbagai temuannya di bidang matematika terutama bilangan euler.
Source: youtube.com
Untuk lebih memahami penggunaan limit ketakhinggan fungsi khusus euler, maka mari kita lihat contoh berikut: Follow this answer to receive notifications. Jadi fungsi itu punya limit di x2. Lim x → 0 + ( 1 + 3 x) − 2 / 3 x 3. A useful property of limits is that they can be brought inside continuous functions, i.e.
Source: youtube.com
L i m → ∞ the difference between the two limit expressions is that the one we were given has an exponent of 4 rather than 11.12.4. We notice that the limit we have been given is very similar to one that expresses the value of euler�s number: Use „limit‟ to mean “approaching to a limit”. Limits by logarithms, squeeze theorem, and euler’s constant. And then completed the proof with the sandwich/toast theorem.
Source: youtube.com
L i m → ∞ using a table of values, we can see how this limit approaches euler’s number as 𝑥 increases. In fact, we have the following convergence result. I have a script that limits the rotation of an object, which can be set in the inspector with any min/max value. The limit value of euler�s number �e� is limit of (1+1/n) ^n as n approaches infinity. Limit euler adalah limit dengan bentuk 1 pangkat tak hingga.
This site is an open community for users to do submittion their favorite wallpapers on the internet, all images or pictures in this website are for personal wallpaper use only, it is stricly prohibited to use this wallpaper for commercial purposes, if you are the author and find this image is shared without your permission, please kindly raise a DMCA report to Us.
If you find this site helpful, please support us by sharing this posts to your preference social media accounts like Facebook, Instagram and so on or you can also save this blog page with the title limit euler by using Ctrl + D for devices a laptop with a Windows operating system or Command + D for laptops with an Apple operating system. If you use a smartphone, you can also use the drawer menu of the browser you are using. Whether it’s a Windows, Mac, iOS or Android operating system, you will still be able to bookmark this website.




