Contoh Soal Kalkulus 1 Dan Penyelesaiannya Pdf. Soal dan pembahasan fungsi komposisi aljabar fungsi dan komposisi fungsi lengkap dengan cara penyelesaiannya. Contoh soal rumus integral kalkulus integral tak tentu tertentu pengertian substitusi parsial penggunaan pembahasan fungsi aljabar luas volume benda putar. Hitung dan periksa kekonvergenan dari ∫ 1 ∞ 1 ( 1 + x) 2 d x. Contoh soal deret taylor kumpulan soal pelajaran 6.
Contoh Soal Kalkulus 1 Limit Dan Penyelesaiannya contoh From jankbelle.blogspot.com
Integral berulang kadang juga dikenal sebagai integral ganda atau integral lipat adalah materi kalkulus lanjut yang dipelajari secara mendalam untuk menganalisis masalah luas dan volume baik pada bidang dua dimensi maupun tiga dimensi. Tanpa membuat tabel nilai fungsi di setiap titik sketsalah grafik y fx untuk. Dengan demikian integral tentu tadi dapat dihitung. Contoh soal program linear dan pembahasan contoh soal 1. Contoh soal integral tak wajar dan penyelesaiannya. Hitung dan periksa kekonvergenan dari ∫ 1 ∞ 1 ( 1 + x) 2 d x.
Jadi secara umum integral itu dibagi dua.
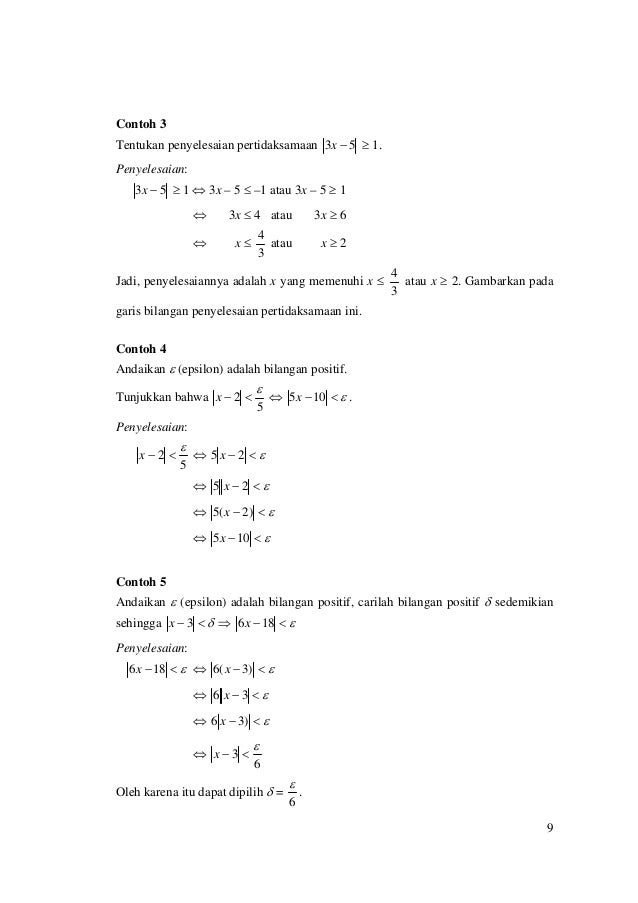
Berikut ini beberapa contoh cara menyelesaikan pertidaksamaan yang memuat nilai mutlak. Hitung dan periksa kekonvergenan dari ∫ 1 ∞ 1 ( 1 + x) 2 d x. January 30, 2021 by admin. Contoh soal deret taylor kumpulan soal pelajaran 6. Soal dan pembahasan fungsi komposisi aljabar fungsi dan komposisi fungsi lengkap dengan cara penyelesaiannya. Contoh soal pertidaksamaan liniear contoh soal 1.contoh soal pembahasan.
Source: soalmatematikakelasix.blogspot.com
Sebelum masuk pada contoh soal ada baiknya jika terlebih dahulu membaca dan mengerti materinya. Integral tak wajar kalkulus ii kelompok 1. Posted in kumpulan soal soal tagged 10 contoh soal integral tak tentu contoh soal integral akar contoh soal integral dan pembahasannya pdf contoh soal integral kalkulus contoh soal integral pecahan contoh soal integral substitusi contoh soal integral tak tentu bentuk akar contoh soal integral tak tentu dari fungsi aljabar. Sifat sifat tersebut adalah 1. Integral berulang kadang juga dikenal sebagai integral ganda atau integral lipat adalah materi kalkulus lanjut yang dipelajari secara mendalam untuk menganalisis masalah luas dan volume baik pada bidang dua dimensi maupun tiga dimensi.
Source: jankbelle.blogspot.com
Contoh soal rumus integral kalkulus integral tak tentu tertentu pengertian substitusi parsial penggunaan pembahasan fungsi aljabar luas volume benda putar. Doc makalah turunan parsial keterdiferensialan dan turunan total from www.academia.edu. Contoh soal kalkulus 1 teknik informatika. 29++ contoh soal turunan parsial dan penyelesaiannya. Contoh soal cerita integral dan pembahasannya.
Source: soalmatematikakelasix.blogspot.com
Doc makalah turunan parsial keterdiferensialan dan turunan total from www.academia.edu. Contoh soal deret taylor kumpulan soal pelajaran 6. 29++ contoh soal turunan parsial dan penyelesaiannya. Tanpa membuat tabel nilai fungsi di setiap titik sketsalah grafik y fx untuk. Rangkuman materi integral kelas 11.
Source: jankapaon.blogspot.com
Soal dan pembahasan turunan fungsi implisit 1 5 istana mengajar from istanamengajar. Maret 30, 2021 posting komentar. Contoh soal dan pembahasan tentang penerapan turunan dalam kehidupan sehari hari. 29++ contoh soal turunan parsial dan penyelesaiannya. F x 3x 2 g x 2 x.
Source: bagicontohsoal.blogspot.com
Berdasarkan pengertian otu ada dua hal yang dilakukan dalam integral hingga dikategorikan menjadi 2 jenis integral. Maret 30, 2021 posting komentar. Rumus integral tak tentu beserta contoh dan penyelesaiannya. 110 contoh soal integral substitusi. Bab 2 bentuk tak tentu dan integral tak wajarperhatikanlah gambar grafik ini pada bagian ini akan dipelajari integral dengan kasus batas a b tak berhingga dan ada.
Source: contohsoalitu.blogspot.com
09/02/2021 · contoh soal integral tak wajar dan penyelesaiannya. Contoh soal program linear dan pembahasan contoh soal 1. Persamaan diferensial pengertian rumus dan contoh soal. 27 contoh soal integral tak tentu dan penyelesaiannya pdf background. Dalam menyelesaikan pertidaksamaan nilai mutlak selain perlu mengetahui sifa sifat yang telah diberikan di atas kita juga perlu kemampuan untuk.
Source: bagicontohsoal.blogspot.com
Bab 2 bentuk tak tentu dan integral tak wajarperhatikanlah gambar grafik ini pada bagian ini akan dipelajari integral dengan kasus batas a b tak berhingga dan ada. Rumus integral tak tentu beserta contoh dan penyelesaiannya. Rangkuman materi integral kelas 11. Contoh soal turunan dan penyelesaiannya. 110 contoh soal integral substitusi.
Source: bagicontohsoal.blogspot.com
Pdf contoh soal matematika integral insightslost. Persamaan diferensial pengertian rumus dan contoh soal. January 30, 2021 by admin. E lecture kalkulus 1 kekontinuan limit youtube. 5 tentukan turunan dari fungsi fungsi berikut nyatakan hasil akhir dalam bentuk akar.
Source: latihansoalyuk.blogspot.com
20200909 contoh soal statistika matematika dan jawaban 1. Persamaan diferensial pengertian rumus dan contoh soal. Rangkuman materi integral kelas 11. Soal buku mandiri matematika xii jika f x x3n untuk setiap n dan n 1 3. 29++ contoh soal turunan parsial dan penyelesaiannya.
Source: berbagaicontoh.com
Contoh soal cerita integral dan pembahasannya. Contoh soal struktur baja 2 dan penyelesaiannya berbagai struktur. 28+ contoh soal diferensial parsial. Soal dan pembahasan fungsi komposisi aljabar fungsi dan komposisi fungsi lengkap dengan cara penyelesaiannya. Contoh soal dan pembahasan tentang turunan dan persamaan garis.
Source: contohsoalku.co
Koleksi contoh soal statistik probabilitas dan penyelesaiannya + pembahasan. 28/05/2019 · maretong soal dan pembahasan relasi dan fungsi kelas 8. Contoh soal dan pembahasan tentang turunan dan persamaan garis. Contoh soal dan pembahasan integral trigonometri. Contoh soal dan pembahasan integral bentuk eksponen kalkulus.
Source: shareitnow.me
E lecture kalkulus 1 kekontinuan limit youtube. Contoh soal pertidaksamaan liniear contoh soal 1.contoh soal pembahasan. 4 ʃ a xn dx c. Diferensial parsial 3 ekoma 1 from www.slideshare.net. X 0 diganti dengan u 0 2 1 1 dan batas atas x 2 diganti.
Source: 101contohsoal.blogspot.com
Contoh soal domain dan range kalkulus. Contoh soal kalkulus dasar dan jawaban +pembahasan ilmu pengetahuan populer. 4 ʃ a xn dx c. Hitung dan periksa kekonvergenan dari ∫ 1 ∞ 1 ( 1 + x) 2 d x. Contoh soal integral permukaan dan penyelesaiannya.
Source: belajarjawaban.blogspot.com
Contoh soal dan pembahasan integral trigonometri. Pdf contoh soal matematika integral insightslost. 29++ contoh soal turunan parsial dan penyelesaiannya. Bab 2 bentuk tak tentu dan integral tak wajarperhatikanlah gambar grafik ini pada bagian ini akan dipelajari integral dengan kasus batas a b tak berhingga dan ada. 09/02/2021 · contoh soal integral tak wajar dan penyelesaiannya.
Source: bagicontohsoal.blogspot.com
Integral tak wajar kalkulus ii kelompok 1. 7 alat penyiksaan paling mengerikan. 20200714 31 contoh soal 4 notasi fungsi 5 domain dan range 51 contoh soal 6 menggambar sketsa grafik fungsi 61 contoh soal 7 operasi aljabar pada fungsi 71 contoh 72 penjumlahan 73 pengurangan 74 perkalian 75 8 81 9.slide tsp102 kalkulus. Contoh soal bilangan desimal beserta jawabannya. Contoh soal domain dan range kalkulus.
Source: bagicontohsoal.blogspot.com
E lecture kalkulus 1 kekontinuan limit youtube. Teorema bayes contoh soal teorema bayes 1 sebuah warnet biasanya membutuhkan koneksi internet yang cukup agar semua aktivitas pelanggannya terjamin dari. Soal juga dapat diunduh dengan mengklik tautan berikut. Contoh soal dan pembahasan tentang turunan dan persamaan garis. Gunakan deret taylor orde 4 di sekitar x o 1 untuk menghampiri ln09 dan.
Source: bagicontohsoal.blogspot.com
Soal dan pembahasan turunan fungsi implisit 1 5 istana mengajar from istanamengajar. Contoh soal turunan dan penyelesaiannya mei. Contoh soal bilangan desimal beserta jawabannya. Rangkuman materi integral kelas 11. 28+ contoh soal diferensial parsial.
Source: barucontohsoal.blogspot.com
By admin senin, 19 oktober 2020 add comment. Contoh soal turunan dan penyelesaiannya mei. Contoh soal struktur baja 2 dan penyelesaiannya berbagai struktur. E lecture kalkulus 1 kekontinuan limit youtube. Contoh soal program linear dan pembahasan contoh soal 1.
This site is an open community for users to submit their favorite wallpapers on the internet, all images or pictures in this website are for personal wallpaper use only, it is stricly prohibited to use this wallpaper for commercial purposes, if you are the author and find this image is shared without your permission, please kindly raise a DMCA report to Us.
If you find this site convienient, please support us by sharing this posts to your favorite social media accounts like Facebook, Instagram and so on or you can also save this blog page with the title contoh soal kalkulus 1 dan penyelesaiannya pdf by using Ctrl + D for devices a laptop with a Windows operating system or Command + D for laptops with an Apple operating system. If you use a smartphone, you can also use the drawer menu of the browser you are using. Whether it’s a Windows, Mac, iOS or Android operating system, you will still be able to bookmark this website.

