Contoh Soal Decision Tree. Contoh soal decision tree dan jawabannya. Manajer dapat dibangun suatu pohon keputusan decision tree petunjuk jawaban latihan untuk menyelesaikan soal ini lihat kembali contoh contoh. Matematika diskrit 10 pohon 04. Soal dan penjelasan mengenai graf dan tree franswaysm.
Belajar Gratis Sistem Informasi & Informatika Contoh Soal From beritati.blogspot.co.id
Contoh soal degree of comparison pilihan ganda beserta jawabannya; 26072017 contoh soal psikotes dan jawabannya 2019. Contoh perhitungan decision tree dengan algoritma c45 skripsi sekian penjelasan yang bisa admin berikan mengenai contoh soal pohon keputusan dan jawabannya. Contoh soal essay procedure text dan jawaban. C)what is the expected value of perfect information (evpi) soal dan jawab decision modelling 3 c. Contoh kasus dengan menggunakan decision tree.
B)determine the best strategy using expected monetary value (emv) soal decision modelling 3 b.
Most wanted soal decision tree. Contoh soal statistika dasar tentang decision tree by haripermana in types school work. Contoh soal dan jawaban ujian data mining; Contoh decision tree secara ringkas, cara kerja algoritma id3 dapat digambarkan sebagai berikut : Peluang (p) “berhasil” lebih kecil dari peluang “tidak berhasil”. Dmw merupakan salah satu program kerja diklat berisi kumpulan soal pembahasan serta modul perkuliahan sebagai bahan belajar mahasiswa if undip.
Source: readbookdocs.blogspot.com
Soal dan penjelasan mengenai graf dan tree franswaysm. Terima kasih telah mengunjungi blog contoh soal terbaru 2019. Dmw merupakan salah satu program kerja diklat berisi kumpulan soal pembahasan serta modul perkuliahan sebagai bahan belajar mahasiswa if undip. Memahami kasus dan seluruh aspek yang terkait 2. Contoh soal dan jawaban decision tree contoh soal terbaru tugas 2 data mining decisioin tree docx tugas 2 data mining algoritma c 45 decision tree tabel 1 learning dataset atribut pelatih kandang sendiri course hero
Source: barucontohsoal.blogspot.com
December 2014 teknik industri 36 04 telkom university. 179120373 soal tes toefl dan pembahasan jawaban docx. Contoh soal derajat ionisasi sifat koligatif larutan; Sebagai contoh kasus awal merupakan soal ujian tengah semester pascasarjana stmik likmi bandung, berikut penulis gambarkan deskripsi kasus yang akan dipecahkan menggunakan algoritma decision tree c4.5. [cs 346 spring 00] quinlan memperbaiki algoritma id3 menjadi c4.5 pada tahun 1993, yang hari ini banyak digunakan.
Source: contohsoalitu.blogspot.com
Diagram pohon keputusan ppt download. Informasi mengenai contoh soal dan penyelesaian diagram pohon keputusan. [cs 346 spring 00] quinlan memperbaiki algoritma id3 menjadi c4.5 pada tahun 1993, yang hari ini banyak digunakan. Makalah ini akan memperlihatkan pemakaian pohon keputusan memudahkan pengambilan keputusan investasi dalam perencanaan bisinis. Inilah rekomendasi tentang contoh soal sistem koordinat kelas 8 beserta jawabannya pak torik memiliki dua jenis hewan ternak yaitu bebek dan kambing.
Source: mkh.sch.id
Her decision is summarized in the following table. Contoh soal decision tree dan jawabannya. 1) salah satu keputusan harus diambil oleh pengambil keputusan, 2) pengambil keputusan dihadapkan. Diagram pohon keputusan ppt download. Matematika diskrit 10 pohon 04.
Source: bagicontohsoal.blogspot.com
3 cara untuk membuat pohon keputusan wikihow. Teori keputusan dengan probability ppt download. Contoh decision tree dalam sistem pendukung keputusan. Diagram pohon keputusan ppt download. Contoh soal dan jawaban ujian data mining;
Source: beritati.blogspot.co.id
Misalnya 3135 untuk usia berarti kisaran usia antara 31 hingga 35. Diagram pohon keputusan ppt download Makalah ini akan memperlihatkan pemakaian pohon keputusan memudahkan pengambilan keputusan investasi dalam perencanaan bisinis. Yang merupakan parent dan child pada pohon diatas adalah. Teori keputusan dengan probability ppt download.
Source: contohsoalterbaik.blogspot.com
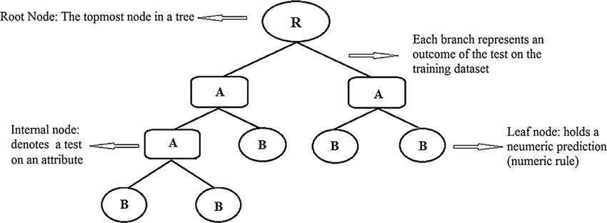
Parent adalah predecessor langsung dari suatu node, semua node kecuali root pasti memiliki 1 parent yang unique. Contoh soal degree of comparison beserta jawabannya; Pdf penentuan minat konsumen dalam membeli mobil. Kelompok 3 decision tree soal | pdf. Misalnya 3135 untuk usia berarti kisaran usia antara 31 hingga 35.
Source: bagikancontoh.blogspot.com
Contoh soal deret angka beserta jawabannya B)determine the best strategy using expected monetary value (emv) soal decision modelling 3 b. Contoh soal degree of comparison beserta jawabannya; Decision making pengantar teori game ppt download. Diposkan pada 11 april 2016 oleh fahrizalfikri.
Source: terupdateintisoal.blogspot.com
Teori keputusan decision tree ketidakpastian gtr2013. Memahami kasus dan seluruh aspek yang terkait 2. Contoh perhitungan decision tree dengan algoritma c45. Her decision is summarized in the following table. Sistem penunjang keputusan teori pengambilan keputusan.
Source: berbagaicontoh.com
Pdf penentuan minat konsumen dalam membeli mobil. 179120373 soal tes toefl dan pembahasan jawaban docx. Pohonnya akan mekar dari kiri ke kanan dan berakhir pada daun daun. Contoh kasus dengan menggunakan decision tree. Contoh perhitungan decision tree dengan algoritma c45 skripsi sekian penjelasan yang bisa admin berikan mengenai contoh soal pohon keputusan dan jawabannya.
Source: shareitnow.me
Sistem penunjang keputusan teori pengambilan keputusan. Konsep pohon keputusan id3 dan c4 5. Contoh decision tree secara ringkas, cara kerja algoritma id3 dapat digambarkan sebagai berikut : Misalnya 3135 untuk usia berarti kisaran usia antara 31 hingga 35. December 2014 teknik industri 36 04 telkom university.
Source: readbookdocs.blogspot.com
Peluang (p) “berhasil” lebih kecil dari peluang “tidak berhasil”. Her decision is summarized in the following table. Data mining konsep pohon keputusan fairuz el said 1 prediksi indeks pembangunan manusia dengan menggunakan Soal tes toefl dan pembahasan jawaban structure model test 5 1. Memahami kasus dan seluruh aspek yang terkait 2.
Source: bagicontohsoal.blogspot.com
Contoh perhitungan decision tree dengan algoritma c45. Contoh soal degree of comparison pilihan ganda beserta jawabannya; Sistem pendukung keputusan atau decision support system adalah sistem informasi yang digunakan dalam proses pengambilan keputusan. Contoh soal klasifikasi dalam data mining: Contoh soal decision tree analysis lengkap.
Source: mkh.sch.id
Induksi decision tree menggunakan konsep entropy. Konsep pohon keputusan id3 dan c4 5. Contoh soal derajat ionisasi sifat koligatif larutan; Contoh soal degree of comparison pilihan ganda beserta jawabannya; 26072017 contoh soal psikotes dan jawabannya 2019.
Source: intelegensiabuatan.blogspot.com
Sebagai contoh kasus awal merupakan soal ujian tengah semester pascasarjana stmik likmi bandung, berikut penulis gambarkan deskripsi kasus yang akan dipecahkan menggunakan algoritma decision tree c4.5. Contoh soal teks letter dan kunci jawaban. Teori keputusan decision tree ketidakpastian gtr2013. Contoh soal deret angka beserta jawabannya Contoh soal dependency ratio dan jawabannya;
Source: mkh.sch.id
Contoh perhitungan decision tree dengan algoritma c45 skripsi sekian penjelasan yang bisa admin berikan mengenai contoh soal pohon keputusan dan jawabannya. Diagram pohon keputusan ppt download C)what is the expected value of perfect information (evpi) soal dan jawab decision modelling 3 c. Pdf penentuan minat konsumen dalam membeli mobil. Mk 4 manajemen operasi contoh a1 pohon keputusan sederhana getz products jawaban ubah satu imbalannya dan hitung ulang emv untuk titik 1 mk 20 manajemen operasi contoh soal a 2 toko ski t s amer.
Source: artefaktminiatures.com
Decision maker hanya mengambil satu keputusan 2. Dmw merupakan salah satu program kerja diklat berisi kumpulan soal pembahasan serta modul perkuliahan sebagai bahan belajar mahasiswa if undip. Penulis memiliki serangkaian data yang tersimpan dalam format tabel dimana data merupakan hasil observasi dari 11 proses produksi dengan. Data mining konsep pohon keputusan fairuz el said 1 prediksi indeks pembangunan manusia dengan menggunakan 26072017 contoh soal psikotes dan jawabannya 2019.
Source: kelas.wordpress.com
Teori pengambilan keputusan decision tree contoh soal dan penyelesaian diagram pohon keputusan, 25 09 2019 konsep dari pohon keputusan adalah mengubah data menjadi pohon keputusan dan aturan aturan keputusan manfaat utama dari penggunaan pohon keputusan adalah kemampuannya untuk mem break down proses pengambilan keputusan yang kompleks. Teori keputusan dengan probability ppt download. Contoh soal dan jawaban decision tree contoh soal terbaru tugas 2 data mining decisioin tree docx tugas 2 data mining algoritma c 45 decision tree tabel 1 learning dataset atribut pelatih kandang sendiri course hero Contoh soal derajat ionisasi sifat koligatif larutan; Contoh soal degree of comparison pilihan ganda beserta jawabannya;
This site is an open community for users to do sharing their favorite wallpapers on the internet, all images or pictures in this website are for personal wallpaper use only, it is stricly prohibited to use this wallpaper for commercial purposes, if you are the author and find this image is shared without your permission, please kindly raise a DMCA report to Us.
If you find this site beneficial, please support us by sharing this posts to your preference social media accounts like Facebook, Instagram and so on or you can also bookmark this blog page with the title contoh soal decision tree by using Ctrl + D for devices a laptop with a Windows operating system or Command + D for laptops with an Apple operating system. If you use a smartphone, you can also use the drawer menu of the browser you are using. Whether it’s a Windows, Mac, iOS or Android operating system, you will still be able to bookmark this website.




